Show the code
x <- mtcars$disp
y <- mtcars$mpg
plot(y ~ x)
abline(lm(y ~ x))
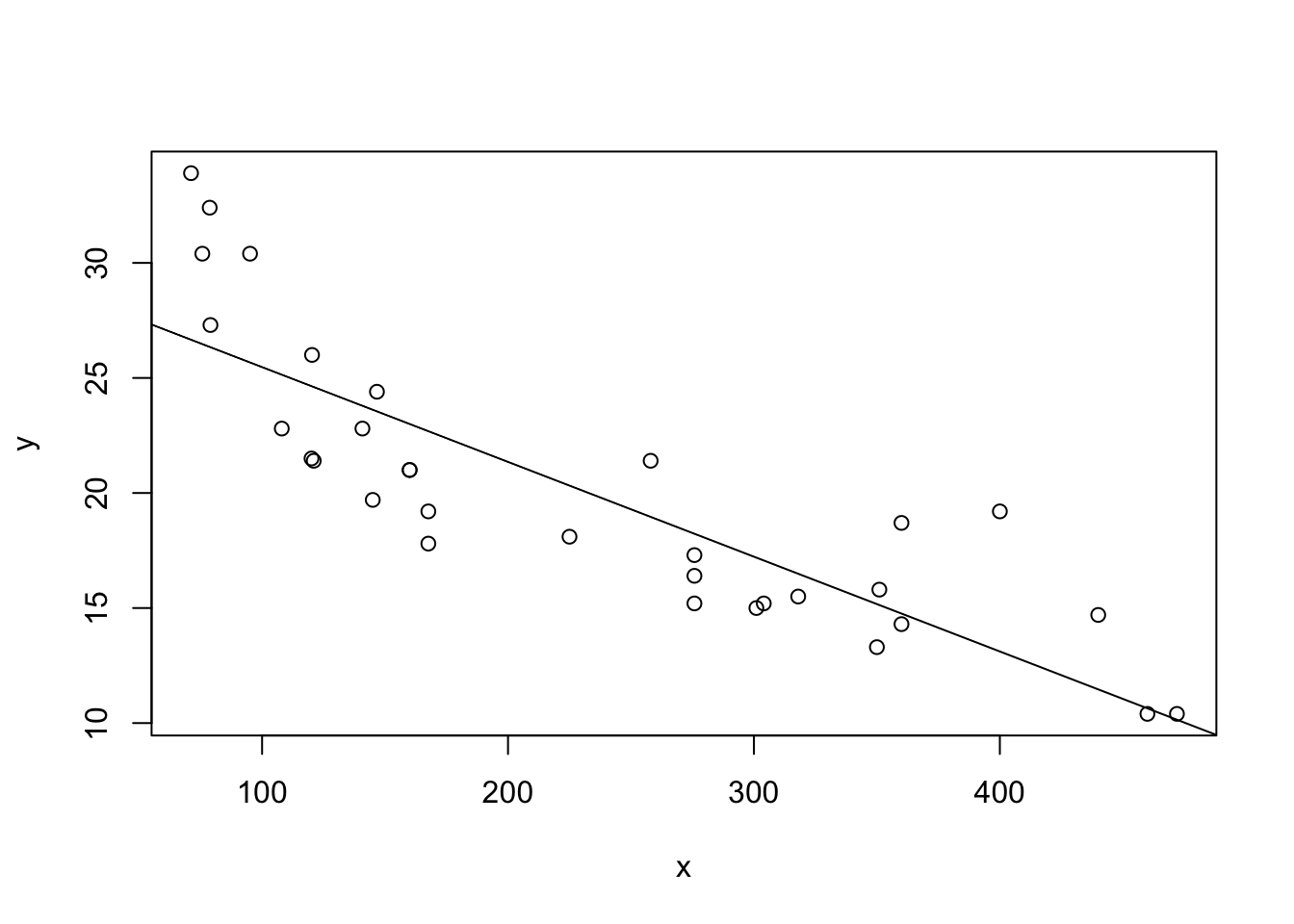
We’ll use the mtcars data for this. Here’s what it looks like:
x <- mtcars$disp
y <- mtcars$mpg
plot(y ~ x)
abline(lm(y ~ x))
It looks like the slope is negative, and the intercept will be somewhere between 25 and 35.
Let’s use the formulae from the previous course: \(\hat\beta_1 = S_{XY}/S_{XX}\) and \(\hat\beta_0 = \bar y - \hat\beta_1\bar x\).
b1 <- sum((x - mean(x)) * (y - mean(y))) / sum((x - mean(x))^2)
b0 <- mean(y) - mean(x) * b1
matrix(c(b0, b1)) [,1]
[1,] 29.59985476
[2,] -0.04121512
To make the matrix multiplication to work, we need \(X\) to be a column of 1s and a column representing our covariate.
X <- cbind(1, x)
head(X) x
[1,] 1 160
[2,] 1 160
[3,] 1 108
[4,] 1 258
[5,] 1 360
[6,] 1 225
The estimates should be \((X^TX)^{-1}X^T\underline y\). In R, we find the transpose with the t() function and we find inverse with the solve() function.
beta_hat <- solve(t(X) %*% X) %*% t(X) %*% y
beta_hat [,1]
29.59985476
x -0.04121512
It works!
Now let’s check the ANOVA table!
n <- length(x)
data.frame(source = c("Regression", "Error", "Total"),
df = c(2, n-2, n),
SS = c(t(beta_hat) %*% t(X) %*% y,
t(y) %*% y - t(beta_hat) %*% t(X) %*% y,
t(y) %*% y)
) source df SS
1 Regression 2 13725.1513
2 Error 30 317.1587
3 Total 32 14042.3100
anova(lm(y ~ x))Analysis of Variance Table
Response: y
Df Sum Sq Mean Sq F value Pr(>F)
x 1 808.89 808.89 76.513 9.38e-10 ***
Residuals 30 317.16 10.57
---
Signif. codes: 0 '***' 0.001 '**' 0.01 '*' 0.05 '.' 0.1 ' ' 1
colSums(anova(lm(y ~ x))) Df Sum Sq Mean Sq F value Pr(>F)
31.0000 1126.0472 819.4605 NA NA
They’re slightly different? Why?
Because the equation in the textbook is for the uncorrected sum of squares, which basically means we’re looking at estimating both \(\beta_0\) and \(\beta_1\) at the same time (hence the df of \(n-2\)). The usual ANOVA table is the corrected sum of squares, which the textbook labels \(SS(\hat\beta_1|\hat\beta_1)\) to make it clear that it’s estimating \(\beta_1\) only; \(\beta_0\) has already been estimated.
n <- length(x)
data.frame(source = c("Regression", "Error", "Total"),
df = c(1, n-1, n),
SS = c(t(beta_hat) %*% t(X) %*% y - n * mean(y)^2,
t(y) %*% y - t(beta_hat) %*% t(X) %*% y,
t(y) %*% y - n * mean(y)^2)
) source df SS
1 Regression 1 808.8885
2 Error 31 317.1587
3 Total 32 1126.0472
The matrix form for \(R^2\) is a little different from what you might expect. It uses this idea of “corrected” sum-of-squares as well. For homework, verify that the corrected sum-of-squares works out to the same formula.
Here’s how to extract the \(R^2\) value from R (note that the programming language R has nothing to do with the \(R^2\); R is named after S, which was the programming language that came before it (both chronologically and alphabetically); you’ll still find references to S and S-Plus).
summary(lm(y ~ x))$r.squared[1] 0.7183433
In the textbook, the formula is given as: \[ R^2 = \frac{\hat{\underline\beta}^TX^T\underline y - n\bar y^2}{\underline y^t\underline y - n\bar y^2} \]
numerator <- t(beta_hat) %*% t(X) %*% y - n * mean(y)^2
denominator <- t(y) %*% y - n * mean(y)^2
numerator / denominator [,1]
[1,] 0.7183433